Bộ đề kiểm tra chương 2 Giải tích 12 có đáp án và lời giải chi tiết

Bạn đang xem Bộ đề kiểm tra chương 2 Giải tích 12 có đáp án và lời giải chi tiết. Cập nhật thêm đề thi thử, đề kiểm tra toán, học toán tại ToanHAY.Com

Tài liệu gồm 106 trang được biên soạn bởi tập thể quý thầy, cô giáo nhóm Toán học Bắc Trung Nam, tuyển chọn 11 đề kiểm tra chương 2 Giải tích 12 có đáp án và lời giải chi tiết. Bộ đề được sử dụng trong các kỳ kiểm tra định kỳ, kiểm tra tập trung, kiểm tra 1 tiết, kiểm tra 45 phút … chủ đề hàm số lũy thừa, hàm số mũ và hàm số logarit. Các đề được biên soạn theo cùng một cấu trúc được sử dụng phổ biến hiện nay: đề gồm 25 câu hỏi và bài toán trắc nghiệm khách quan, thời gian làm bài 45 phút. Phần lời giải chi tiết được trình bày tỉ mỉ, có phân tích các phương án nhiễu nhằm giúp học sinh tránh các sai lầm trong giải toán trắc nghiệm.Trích dẫn bộ đề kiểm tra chương 2 Giải tích 12 có đáp án và lời giải chi tiết:
+ Cho các số thực dương a, b thỏa mãn a > b và a^2 – 3ab + b^2 = 0. Trong các đẳng thức sau, đẳng thức nào đúng?
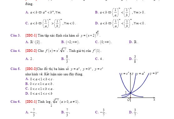
+ Hình bên là đồ thị của ba hàm số y = a^x, y = b^x, y = c^x (0 < a, b, c khác 1) được vẽ trên cùng một hệ trục tọa độ. Khẳng định nào sau đây là khẳng định đúng?
[ads]
+ Tìm tập hợp X gồm tất cả các giá trị của tham số thực m để bất phương trình 1 + log_5 (x^2 + 1) ≥ log_5 (mx^2 + 4x + m) có tập nghiệm là R.
+ Phương trình log_3 (x^2 + 4x + 12) = 2. Chọn phương án đúng?
A. Có hai nghiệm cùng dương. B. Có hai nghiệm trái dấu.
C. Có hai nghiệm cùng âm. D. Vô nghiệm.
+ Biết rằng phương trình 3^2018 + 2^(x.log_8 9) = 0 có nghiệm duy nhất x = x0. Khẳng định nào sau đây là đúng?
A. x0 là số nguyên tố. B. x0 là số chính phương.
C. x0 chia hết cho 3. D. x0 là một số chẵn.

Hãy bình luận đầu tiên

Để lại một phản hồi

Thư điện tử của bạn sẽ không được hiện thị công khai.


*