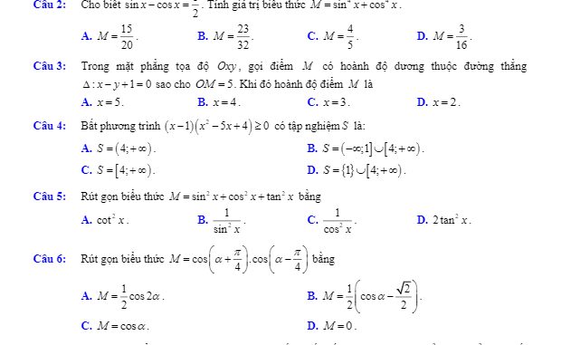
ToanHAY.com giới thiệu đến quý thầy, cô giáo và các em học sinh đề thi kết thúc HK2 Toán 10 năm học 2019 – 2020 trường THPT Quang Trung, quận Đống Đa, thành phố Hà Nội; đề thi gồm 05 trang với 50 câu hỏi và bài toán dạng trắc nghiệm, thời gian làm bài 90 phút.Trích dẫn đề kết thúc HK2 Toán 10 năm 2019 – 2020 trường THPT Quang Trung – Hà Nội:
+ Trong mặt phẳng Oxy, cho đường tròn (C): x^2 + y^2 + 4x + 4y + 6 = 0 và đường thẳng d: x + my – 2m + 3 = 0, với m là tham số thực. Gọi I là tâm đường tròn (C). Tính tổng các giá trị thực của tham số m để đường thẳng d cắt đường tròn (C) tại hai điểm phân biệt A và B sao cho diện tích tam giác IAB lớn nhất.
[ads]
+ S là tập hợp tất cả các giá trị nguyên dương của tham số m để phương trình -5x^2 – (m^2 – 1)x + 2m^2 – 2m – 7 = 0 có hai nghiệm trái dấu. Hỏi tập hợp S có bao nhiêu phần tử?
+ Cho Elip (E): x^2/25 + y^2/16 = 1. Khẳng định nào sau đây là đúng?
A. (E) có tiêu cự bằng 3. B. (E) có hai tiêu điểm là F1(-3;0).
C. (E) có độ dài trục lớn bằng 5. D. (E) có độ dài trục bé bằng 4.
Để lại một phản hồi