Đề kiểm tra khảo sát Toán 12 năm 2018 – 2019 trường Thuận Thành 1 – Bắc Ninh

Bạn đang xem Đề kiểm tra khảo sát Toán 12 năm 2018 – 2019 trường Thuận Thành 1 – Bắc Ninh. Cập nhật thêm đề thi thử, đề kiểm tra toán, học toán tại ToanHAY.Com

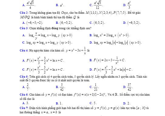
ToanHAY.com giới thiệu đến quý thầy, cô giáo cùng các em học sinh lớp 12 đề kiểm tra khảo sát Toán 12 năm 2018 – 2019 trường Thuận Thành 1 – Bắc Ninh, đề thi có mã 210 được biên soạn theo dạng trắc nghiệm với 50 câu hỏi và bài toán, đề gồm 07 trang, học sinh làm bài trong 90 phút, kỳ thi nhằm giúp nhà trường và giáo viên bộ môn Toán kiểm tra, đánh giá chất lượng ôn tập của học sinh khối 12 trong quá trình chuẩn bị cho kỳ thi THPT Quốc gia môn Toán năm học 2018 – 2019.Trích dẫn đề kiểm tra khảo sát Toán 12 năm 2018 – 2019 trường Thuận Thành 1 – Bắc Ninh:
+ Bà Tư gửi tiết kiệm 75 triệu đồng vào ngân hàng theo kỳ hạn một quý (3 tháng) với lãi suất 1.77% một quý. Nếu bà không rút lãi ở tất cả các định kỳ thì sau 3 năm bà ấy nhận được số tiền cả vốn lẫn lãi là bao nhiêu (làm tròn tới hàng nghìn)? Biết rằng hết một kỳ hạn lãi sẽ được cộng vào vốn để tính lãi trong kỳ hạn tiếp theo.
[ads]
+ Một khối đá có hình là một khối cầu có bán kính R, người thợ thợ thủ công mỹ nghệ cần cắt và gọt viên đá đó thành một viên đá cảnh có hình dạng là một khối trụ. Tính thể tích lớn nhất có thể của viên đá cảnh sau khi đã hoàn thiện.
+ Cho hàm số f(x) liên tục trên đoạn [-2;3] có đồ thị như hình vẽ dưới đây. Gọi m, M lần lượt là giá trị nhỏ nhất và giá trị lớn nhất của hàm số trên đoạn [-2;3]. Giá trị của 2m – 3M bằng?

Hãy bình luận đầu tiên

Để lại một phản hồi

Thư điện tử của bạn sẽ không được hiện thị công khai.


*