Đề thi chọn HSG thành phố Toán 12 năm 2019 – 2020 sở GD&ĐT Hà Nội

Bạn đang xem Đề thi chọn HSG thành phố Toán 12 năm 2019 – 2020 sở GD&ĐT Hà Nội. Cập nhật thêm đề thi thử, đề kiểm tra toán, học toán tại ToanHAY.Com

Nhằm tuyển chọn các em học sinh giỏi Toán 12 THPT tham dự kỳ thi học sinh giỏi Toán THPT cấp Quốc gia, ngày 03 tháng 10 năm 2019, sở Giáo dục và Đào tạo Hà Nội tổ chức kỳ thi chọn học sinh giỏi thành phố môn Toán 12 năm học 2019 – 2020.Đề thi chọn HSG thành phố Toán 12 năm 2019 – 2020 sở GD&ĐT Hà Nội gồm 01 trang với 05 bài toán tự luận, thời gian làm bài 180 phút.Trích dẫn đề thi chọn HSG thành phố Toán 12 năm 2019 – 2020 sở GD&ĐT Hà Nội:
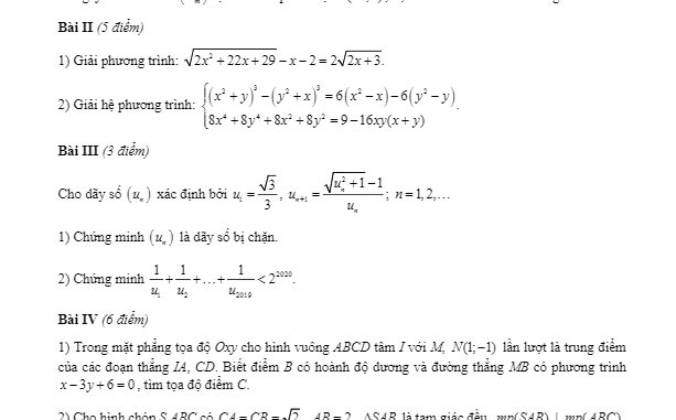
+ Trong mặt phẳng tọa độ Oxy cho hình vuông ABCD tâm I với M, N(1;-1) lần lượt là trung điểm của các đoạn thẳng IA, CD. Biết điểm B có hoành độ dương và đường thẳng MB có phương trình x – 3y + 6 = 0, tìm tọa độ điểm C.
[ads]
+ Cho hình chóp S.ABC có CA = CB = √2, AB = 2, tam giác SAB là tam giác đều, mp (SAB) vuông góc với mp (ABC). Gọi D là chân đường phân giác trong hạ từ đỉnh C của tam giác SBC.
a) Tính thể tích khối chóp D.ABC.
b) Gọi M là điểm sao cho các góc tạo bởi các mặt phẳng (MAB), (MBC), (MCA) với mặt phẳng (ABC) là bằng nhau. Tìm giá trị nhỏ nhất của |MA + MB + 4MS – 4MC|.
+ Xét các số thực dương a, b, c thỏa mãn a + b + c = 3. Tìm giá trị lớn nhất của: P = a^3 + b^3 + c^3 – 3/a – 3/b – 3/c.

Hãy bình luận đầu tiên

Để lại một phản hồi

Thư điện tử của bạn sẽ không được hiện thị công khai.


*