Đề thi chọn HSG Toán 10 THPT năm học 2018 – 2019 sở GD&ĐT Vĩnh Phúc

Bạn đang xem Đề thi chọn HSG Toán 10 THPT năm học 2018 – 2019 sở GD&ĐT Vĩnh Phúc. Cập nhật thêm đề thi thử, đề kiểm tra toán, học toán tại ToanHAY.Com

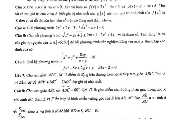
Thứ Ba ngày 09 tháng 04 năm 2019, sở Giáo dục và Đào tạo Vĩnh Phúc tổ chức kỳ thi chọn học sinh giỏi lớp 10 THPT môn Toán năm học 2018 – 2019, đề thi được biên soạn theo hình thức tự luận với 10 bài toán, học sinh làm bài trong 180 phút.Trích dẫn đề thi chọn HSG Toán 10 THPT năm học 2018 – 2019 sở GD&ĐT Vĩnh Phúc:
+ Cho tam giác ABC có góc ABC = 60°. Gọi D là giao điểm của đường phân giác trong góc A với cạnh BC, điểm E và F lần lượt là hình chiếu vuông góc của D lên AB, AC. Đặt AB/AC = x, tính tỉ số S_DEF/S_ABC theo x và tính tỉ số đó khi BD = 8, BC = 10.
[ads]
+ Trong mặt phẳng với hệ trục tọa độ Oxy, cho hình bình hành ABCD có AC = 2AB, phương trình đường chéo BD: x + y – 1 = 0, điểm B có hoành độ âm. Gọi M là trung điểm cạnh BC và E(3;4) là điểm thuộc đoạn thẳng AC thỏa mãn AC = 4AE. Tìm tọa độ các đỉnh A, B, C, D biết diện tích tam giác DEC bằng 4 và điểm M nằm trên đường thẳng d: 2x + y = 0.
+ Cho a, b thuộc R và a > 0. Xét hai hàm số f(x) = 2x^2 – 4x + 5 và g(x) = x^2 + ax + b. Tìm tất cả các giá trị của a và b biết giá trị nhỏ nhất của g(x) nhỏ hơn giá trị nhỏ nhất của f(x) là 8 đơn vị và đồ thị của hai hàm số trên có đúng một điểm chung.

Hãy bình luận đầu tiên

Để lại một phản hồi

Thư điện tử của bạn sẽ không được hiện thị công khai.


*