Đề thi chọn HSG Toán 11 vòng 1 năm học 2020 – 2021 sở GD&ĐT Bình Dương

Bạn đang xem Đề thi chọn HSG Toán 11 vòng 1 năm học 2020 – 2021 sở GD&ĐT Bình Dương. Cập nhật thêm đề thi thử, đề kiểm tra toán, học toán tại ToanHAY.Com

Ngày 17 tháng 05 năm 2020, sở Giáo dục và Đào tạo tỉnh Bình Dương tổ chức kỳ thi chọn đội tuyển học sinh giỏi dự thi Quốc gia môn Toán lớp 11 vòng 1 năm học 2020 – 2021.Đề thi chọn HSG Toán 11 vòng 1 năm học 2020 – 2021 sở GD&ĐT Bình Dương gồm 02 trang với 05 bài toán dạng tự luận, thời gian học sinh làm bài thi là 180 phút (không kể thời gian phát đề).Trích dẫn đề thi chọn HSG Toán 11 vòng 1 năm học 2020 – 2021 sở GD&ĐT Bình Dương:
+ Có 5 con xúc xắc được đánh số thứ tự 1, 2, 3, 4, 5. Gieo đồng thời cả 5 xúc xắc đó. Tính xác suất để tổng của 5 số trên mặt xuất hiện của 5 xúc xắc bằng 14.
+ Cho tam giác ABC nội tiếp đường tròn (O), AB < AC, M là trung điểm của cạnh BC. Đường phân giác trong của BAC cắt cạnh BC tại D và cắt đường tròn (O) tại điểm P (khác A). Gọi E là điểm đối xứng với D qua M; trên đường thẳng AO và đường thẳng AD lần lượt lấy các điểm H, F sao cho các đường thẳng HD, FE cùng vuông góc với đường thẳng BC.
a) Chứng minh rằng bốn điểm B, H, C, F cùng nằm trên một đường tròn (w).
b) Gọi T là giao điểm khác F của AD và (w). Biết đường tròn ngoại tiếp tam giác MTP cắt đường thẳng TH tại điểm Q (khác T). Chứng minh rằng đường thẳng QA tiếp xúc với đường tròn (O).
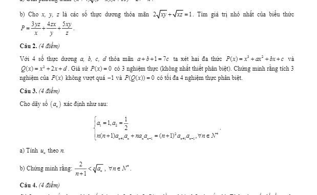
+ Với 4 số thực dương a, b, c, d thỏa mãn a + b + 1 = 7c ta xét hai đa thức P(x) = x^3 + ax^2 + bx + c và Q(x) = x^2 + 2x + d. Giả sử P(x) = 0 có 3 nghiệm thực (không nhất thiết phân biệt). Chứng minh rằng tích 3 nghiệm của P(x) không vượt quá -1 và P(Q(x)) = 0 có tối đa 4 nghiệm thực phân biệt.

Hãy bình luận đầu tiên

Để lại một phản hồi

Thư điện tử của bạn sẽ không được hiện thị công khai.


*