Đề thi HK1 Toán 11 năm học 2019 – 2020 sở GDKHCN Bạc Liêu

Bạn đang xem Đề thi HK1 Toán 11 năm học 2019 – 2020 sở GDKHCN Bạc Liêu. Cập nhật thêm đề thi thử, đề kiểm tra toán, học toán tại ToanHAY.Com

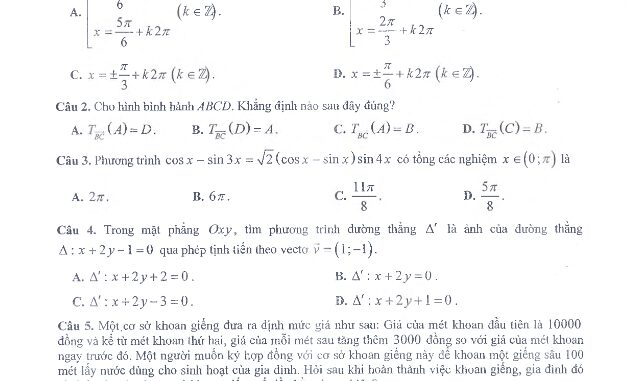
Sáng thứ Sáu ngày 20 tháng 12 năm 2019, sở Giáo dục, Khoa học và Công nghệ tỉnh Bạc Liêu tổ chức kỳ thi kiểm tra chất lượng học kỳ 1 môn Toán 11 năm học 2019 – 2020.Đề thi HK1 Toán 11 năm học 2019 – 2020 sở GDKHCN Bạc Liêu mã đề 124, đề thi gồm có 03 trang với 20 câu trắc nghiệm (chiếm 6,0 điểm) và 03 câu tự luận (chiếm 4,0 điểm), học sinh làm bài trong khoảng thời gian 90 phút.Trích dẫn đề thi HK1 Toán 11 năm học 2019 – 2020 sở GDKHCN Bạc Liêu:
+ Trong một cuộc thi, Ban tổ chức dùng 7 cuốn sách môn Toán, 6 cuốn sách môn Vật lý và 5 cuốn sách môn Hóa học để làm phần thưởng cho 9 học sinh có kết quả cao nhất. Các cuốn sách cùng thể loại Toán, Vật lý, Hóa học đều giống nhau. Mỗi thí sinh nhận thưởng sẽ được hai cuôn sách khác thể loại, trong đó có An. Tính xác suất để An nhận thưởng có sách Toán.
+ Từ 20 học sinh ưu tú gồm 10 nam và 10 nữ, người ta muốn thành lập một đoàn đại biểu gồm 6 người để tham dự một buổi hội thảo, trong đó có 1 trưởng đoàn là nam và 2 phó đoàn là nữ. Hỏi có bao nhiêu cách thành lập một đoàn đại biểu như vậy?
[ads]
+ Một.cơ sở khoan giếng đưa ra định mức giá như sau: Giá cùa mét khoan đầu tiên là 10000 đồng và kể từ mét khoan thứ hai, giá của mỗi mét sau tăng thêm 3000 đồng so với giá của mét khoan ngay trước đó. Một người muốn ký họp đồng với cơ sở khoan giếng này để khoan một giếng sâu 100 mét lấy nước dùng cho sinh hoạt của gia đình. Hỏi sau khi hoàn thành việc khoan giêng, gia đình đó phải thanh toán cho cợ sở khoan giêng sô tiên băng bao nhiêu?
+ Cho hình chóp S.ABCD có đáy ABCD là hình thang, với đáy lớn là AD và AD = 2BC. Tìm giao điểm của đường thẳng CD và mặt phẳng (SAB). Gọi I là điểm nằm trên cạnh SC sao cho 2SC = 3SI. Chứng minh đường thẳng SA song song với mặt phẳng (BID).
+ Từ một hộp chứa 7 quả cầu màu đỏ và 5 quả cầu màu vàng, Hùng lấy ngẫu nhiên đồng thời 3 quả cầu. Tính xác suất để Hùng lấy được 3 quả cầu trong đó có hai quả cầu màu đỏ.

Hãy bình luận đầu tiên

Để lại một phản hồi

Thư điện tử của bạn sẽ không được hiện thị công khai.


*