Đề thi HK1 Toán 12 năm học 2019 – 2020 sở GD&ĐT Thái Bình

Bạn đang xem Đề thi HK1 Toán 12 năm học 2019 – 2020 sở GD&ĐT Thái Bình. Cập nhật thêm đề thi thử, đề kiểm tra toán, học toán tại ToanHAY.Com

Thứ Hai ngày 06 tháng 01 năm 2020, sở Giáo dục và Đào tạo tỉnh Thái Bình tổ chức kì thi khảo sát chất lượng học kì 1 môn Toán 12 năm học 2019 – 2020.Đề thi HK1 Toán 12 năm học 2019 – 2020 sở GD&ĐT Thái Bình mã đề 103 gồm có 04 trang với 50 câu hỏi và bài toán trắc nghiệm khách quan, thời gian học sinh làm bài thi là 90 phút, đề thi có đáp án mã đề 101, 102, 103, 104, 105, 106, 107, 108.Trích dẫn đề thi HK1 Toán 12 năm học 2019 – 2020 sở GD&ĐT Thái Bình:
+ Mặt phẳng (AB’C’) chia khối lăng trụ ABC.A’B’C’ thành các khối đa diện nào?
A. Một khối chóp tam giác và một khối chóp tứ giác. B. Một khối chóp tam giác và một khối chóp ngũ giác.
C. Hai khối chóp tứ giác. D. Hai khối chóp tam giác.
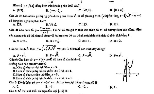
+ Cho hàm số y = x^4 – 2x + 3. Khẳng định nào sau đây là đúng?
A. Hàm số không có cực trị. B. Hàm số có ba điểm cực trị.
C. Hàm số có một điểm cực trị. D. Hàm số có hai điểm cực trị.
[ads]
+ Một khối nón có thể tích bằng 30pi. Nếu giữ nguyên chiều cao và tăng bán kính mặt đáy của khối nón lên hai lần thì thể tích khối nón mới bằng?
+ Cho hàm số y = ax^3 + bx^2 + cx + d có đồ thị như hình bên. Chọn đáp án đúng?
A. Hàm số có hệ số a < 0. B. Hệ số tự do của hàm số khác 0.
C. Hàm số không có cực trị. D. Hàm số đồng biến trên các khoảng (-2;-1) và (1;2).
+ Cho hình trụ có hai đáy là hai hình tròn (O) và (O’), thiết diện qua trục của hình trụ là hình vuông. Gọi A, B là hai điểm lần lượt nằm trên hai đường tròn (O) và (O’). Biết AB = 2a và khoảng cách giữa hai đường thẳng AB và OO’ bằng a√3/2. Bán kính đáy của hình trụ bằng?

Hãy bình luận đầu tiên

Để lại một phản hồi

Thư điện tử của bạn sẽ không được hiện thị công khai.


*