Phân tích một số câu vận dụng trong đề minh họa THPTQG 2020 môn Toán

Bạn đang xem Phân tích một số câu vận dụng trong đề minh họa THPTQG 2020 môn Toán. Cập nhật thêm đề thi thử, đề kiểm tra toán, học toán tại ToanHAY.Com

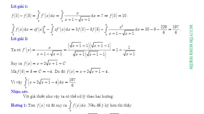
Tài liệu gồm có 39 trang được biên soạn bởi thầy giáo Nguyễn Minh Nhiên, trình bày lời giải chi tiết và đi sâu phân tích một số bài toán vận dụng – vận dụng cao trong đề minh họa THPT Quốc gia môn Toán năm học 2019 – 2020; cụ thể đó là các bài toán: câu 38, câu 43, câu 46, câu 48, câu 49, câu 50; qua đó giúp học sinh có những cách tiếp cận khác nhau đối với những dạng toán VD – VDC trong các .Trong mỗi bài toán cụ thể, tác giả trình bày lời giải chi tiết của bài toán để tìm đáp án theo nhiều cách khác nhau, với mỗi cách đều có nhận xét về tính ưu việt của phương pháp; sau đó là một số bài toán tương tự, phát triển và mở rộng bài toán gốc, kèm theo hướng dẫn giải.Trích dẫn tài liệu phân tích một số câu vận dụng trong đề minh họa THPTQG 2020 môn Toán:
+ Có bao nhiêu cặp số nguyên (x;y) thỏa mãn log_3 (3x + 3) + x = 2y + 9^y?
A. 2019. B. 6. C. 2020. D. 4.
+  Cho hàm số y = f(x) = ax^3 + bx^2 + cx + d có các điểm cực trị là 0;a (2 < a < 3) và có đồ thị là đường cong như hình vẽ. Đặt g(x) = 2019f(f(x)) + 2020. Số điểm cực trị của hàm số là?
A. 2. B. 8. C. 10. D. 6.
+ Cho tứ diện ACFG có số đo các cạnh lần lượt là AC = AF = FC = a√2, AG = a√3, GF = GC = a. Thể tích của khối tứ diện ACFG bằng?Xem thêm:

Hãy bình luận đầu tiên

Để lại một phản hồi

Thư điện tử của bạn sẽ không được hiện thị công khai.


*